亚洲视屏,国产91一区,日韩免费观看视频,四虎成人在线观看 国产热门麻酥酥哟在线_国产性爱对白视频在线_国产模特私拍在线播放_国产无遮挡又黄又爽又色

NEWS:

  MOB:+86-13153181156,TEL:+86-0531-69958659,E-mail:85358883@qq.com

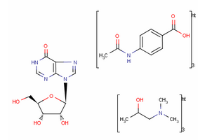
Inosine pranobex


Product Name: Inosine pranobex
Synonyms: Aviral; Delimmun; INPX; Imunovir; Inosiplex; Isoprinosin; Isoprinosina; Isoprinosine; Isoviral; Methisoprinol; NP 113; NTP 10381; Viruxan; Inosine, compd. with 1-(dimethylamino)-2-propanol 4-(acetylamino)benzoate (salt) (1:3); Inosine, compound with (2-hydroxypropyl)dimethylammonium p-acetamidobenzoate (1:3); Inosine-2-hydroxypropyldimethylammonium 4-acetamidobenzoate (1:3); 9-[(2R,3R,4S,5R)-3,4-dihydroxy-5-(hydroxymethyl)tetrahydrofuran-2-yl]-3H-purin-6-one; 1-dimethylaminopropan-2-ol
CAS RN.: 36703-88-5
EINECS: 253-162-1
Molecular Weight: 550.5616
Molecular Formula: C24H34N6O9
Boiling Point(℃): 732.8°C at 760 mmHg
Flash Point(℃): 397°C




  Previous product: Sildenafil
  Next product: Instruction of ceftiofur intermediate (7-ACF)